无忧考根据山西招生考试网公布的《山西2025年普通高校招生考试和录取工作方案政策解读》了解到,山西2025年普通高校招生考试成绩的构成公布,具体如下:

我省2025年考生成绩是如何构成的?
(1)文化总成绩
考生文化总成绩由3门全国统考科目成绩和3门选考科目成绩组成,满分750分。其中,全国统考科目每门满分150分、选考科目每门满分100分。语文、数学、外语(听力不计入总成绩)、物理、历史科目以卷面原始成绩计入考生文化总成绩;思想政治、地理、化学、生物学科目以等级转换分数计入考生文化总成绩。
(2)体育类、艺术类专业成绩
体育类专业成绩满分为100分;音乐、舞蹈、表(导)演、播音与主持、美术与设计、书法等6个类别专业省级统考成绩满分均为300分。戏曲类省际联考专业成绩按照教育部相关要求执行。
(3)体育类综合成绩
体育类综合成绩=高考总成绩×40%+(专业成绩×7.5)×60%(保留两位小数)。
(4)艺术类综合成绩
艺术类综合成绩=高考总成绩×50%+(专业省级统考成绩×2.5)×50%(保留两位小数)。
6.为什么再选科目思想政治、地理、化学、生物学考试成绩要实行等级赋分后计入文化总成绩?
2025年改革后,高考招生录取按照物理、历史两个类别分列招生计划、分别划线、分别投档录取,首选科目相同的考生将使用同一试卷,考试群体相同,成绩具有可比性,因此使用原始分计入文化总成绩。但由于再选科目思想政治、地理、化学、生物学试题难度差异和报考相应科目的考生群体不同,选考科目的原始分不具有可比性。例如:小王和小李两个同学首选科目都选择了物理,小王再选科目选择了化学和生物学,小李选择了化学和地理,如果小王的生物学考了90分,小李的地理考了80分,不能简单地说小王成绩比小李更好,因为这两个科目不同,试题难易程度可能不同,选考人数也可能不同,若简单将他们各科成绩相加计入文化总成绩并进行比较,既不科学也不公平。为了解决这个问题,就需要等级赋分,即需要将不同科目的原始分按照一定规则通过转换得到等级分(转换后考生选考科目成绩排队顺序与原始分排队顺序保持不变),以解决再选科目的原始分不具有可比性的问题,让选择不同高考科目的考生能够公平参加高考招生录取,程度地保证高考的科学性和公正性。
等级赋分的规则是什么?
(1)适用科目
再选科目化学、生物学、思想政治、地理以等级转换分计入考生文化总成绩。
(2)转换规则
某一选考再选科目的考生成绩,转换时赋分起点为30分,满分100分。具体转换步骤如下:

第一步,将该科目考生卷面原始分从高到低依次按照15%、35%、35%、13%和2%的比例划分为A、B、C、D、E共5个等级,考生的原始分转换成等级。缺考、零分考生人数不计入转换基数,违规或作弊考生计入转换基数,但转换后的成绩按零分计。
第二步,将A至E五个等级内的考生原始分,按照等比例转换规则,转换到100~86,85~71,70~56,55~41和40~30五个分数区间,根据转换公式计算,四舍五入取整数得到考生的等级转换分。转换后的成绩一分一档,考生排序不变。

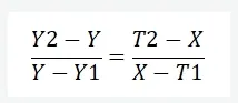
其中:
Y1、Y2分别表示某个等级所对应卷面原始分区间的下限和上限;
T1、T2分别表示相应等级的等级转换分数区间的下限和上限;
Y表示相应等级内某考生的卷面原始分;
X表示相应等级内某考生的等级转换分数。
(3)转换示例

假设一个同学思想政治原始成绩为75分,在所有选政治的考生中排在前20%,具体成绩分布如图。
第一步,将该科目所有考生原始分从高到低进行排序,按照规定的等级比例该考生被划定为B等级,该科目B等级原始分区间为61-82(仅是示例,实际各科目各等级原始分区间不固定),即Y1、Y2分别为61和82;
第二步,根据分数转换参数设置,将B等级内该考生的原始分,依照等比例转换方法,转换到71-85区间,即T1、T2分别为71和85,依据转换公式,该考生思想政治科目等级转换分为:

解得,X≈80(四舍五入取整),即该考生思想政治科目等级转换分为80分。








暂无评论内容